SalasarInv 503635 full analysis,charts,indicators,moving averages,SMA,DMA,EMA,ADX,MACD,RSI
Salasar Inv 503635 WideScreen charts, DMA,SMA,EMA technical analysis, forecast prediction, by indicators ADX,MACD,RSI,CCI BSE stock exchange
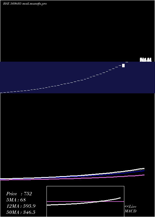
Daily price and charts and targets SalasarInv
Strong Daily Stock price targets for SalasarInv 503635 are 751.95 and 751.95
| Daily Target 1 | 751.95 |
| Daily Target 2 | 751.95 |
| Daily Target 3 | 751.95 |
| Daily Target 4 | 751.95 |
| Daily Target 5 | 751.95 |
Daily price and volume Salasar Inv
| Date | Closing | Open | Range | Volume | Thu 02 April 2026 | 751.95 (5%) | 751.95 | 751.95 - 751.95 | 1.3154 times | Wed 01 April 2026 | 716.15 (5%) | 647.95 | 647.95 - 716.15 | 4.5425 times | Mon 30 March 2026 | 682.05 (5%) | 682.05 | 682.00 - 682.05 | 2.1435 times | Fri 27 March 2026 | 649.60 (4.99%) | 649.60 | 649.60 - 649.60 | 0.0187 times | Wed 25 March 2026 | 618.70 (5%) | 618.70 | 618.70 - 618.70 | 0.0017 times | Tue 24 March 2026 | 589.25 (5%) | 589.25 | 589.25 - 589.25 | 0.0852 times | Mon 23 March 2026 | 561.20 (5%) | 561.20 | 561.20 - 561.20 | 0.0017 times | Fri 20 March 2026 | 534.50 (5%) | 534.50 | 534.50 - 534.50 | 0.2419 times | Thu 19 March 2026 | 509.05 (4.99%) | 509.05 | 509.05 - 509.05 | 0.0017 times | Wed 18 March 2026 | 484.85 (4.99%) | 484.85 | 484.85 - 484.85 | 1.6476 times | Tue 17 March 2026 | 461.80 (4.99%) | 461.80 | 461.80 - 461.80 | 0.1278 times |
Weekly price and charts SalasarInv
Strong weekly Stock price targets for SalasarInv 503635 are 699.95 and 803.95
| Weekly Target 1 | 613.28 |
| Weekly Target 2 | 682.62 |
| Weekly Target 3 | 717.28333333333 |
| Weekly Target 4 | 786.62 |
| Weekly Target 5 | 821.28 |
Weekly price and volumes for Salasar Inv
| Date | Closing | Open | Range | Volume | Thu 02 April 2026 | 751.95 (15.76%) | 682.05 | 647.95 - 751.95 | 3.9068 times | Fri 27 March 2026 | 649.60 (21.53%) | 561.20 | 561.20 - 649.60 | 0.0524 times | Fri 20 March 2026 | 534.50 (27.58%) | 439.85 | 439.85 - 534.50 | 0.9867 times | Fri 13 March 2026 | 418.95 (27.59%) | 344.75 | 344.75 - 418.95 | 0.3103 times | Fri 06 March 2026 | 328.35 (15.72%) | 297.90 | 297.90 - 328.35 | 2.5391 times | Thu 26 February 2026 | 283.75 (10.24%) | 270.25 | 270.25 - 283.75 | 0.0092 times | Fri 20 February 2026 | 257.40 (27.55%) | 211.85 | 211.85 - 257.40 | 0.0042 times | Fri 13 February 2026 | 201.80 (21.53%) | 174.35 | 174.35 - 201.80 | 0.0033 times | Thu 05 February 2026 | 166.05 (21.49%) | 143.50 | 143.50 - 166.05 | 0.0416 times | Fri 30 January 2026 | 136.68 (15.74%) | 123.99 | 123.99 - 136.68 | 2.1464 times | Fri 23 January 2026 | 118.09 (21.53%) | 102.02 | 102.02 - 118.09 | 0.0333 times |
Monthly price and charts SalasarInv
Strong monthly Stock price targets for SalasarInv 503635 are 699.95 and 803.95
| Monthly Target 1 | 613.28 |
| Monthly Target 2 | 682.62 |
| Monthly Target 3 | 717.28333333333 |
| Monthly Target 4 | 786.62 |
| Monthly Target 5 | 821.28 |
Monthly price and volumes Salasar Inv
| Date | Closing | Open | Range | Volume | Thu 02 April 2026 | 751.95 (10.25%) | 647.95 | 647.95 - 751.95 | 2.7421 times | Mon 30 March 2026 | 682.05 (140.37%) | 297.90 | 297.90 - 682.05 | 4.7312 times | Thu 26 February 2026 | 283.75 (107.6%) | 143.50 | 143.50 - 283.75 | 0.0558 times | Fri 30 January 2026 | 136.68 (88.39%) | 76.17 | 76.17 - 136.68 | 2.12 times | Fri 26 December 2025 | 72.55 (97.74%) | 38.52 | 38.52 - 72.55 | 0.1196 times | Fri 28 November 2025 | 36.69 (40.57%) | 27.40 | 27.40 - 36.69 | 0.0558 times | Fri 31 October 2025 | 26.10 (70.59%) | 16.06 | 16.06 - 26.10 | 0.0957 times | Tue 30 September 2025 | 15.30 (4.94%) | 15.30 | 15.30 - 15.30 | 0.008 times | Fri 16 May 2025 | 14.58 (4.97%) | 14.58 | 14.58 - 14.58 | 0.071 times | Fri 19 January 2024 | 13.89 (4.99%) | 13.89 | 13.89 - 13.89 | 0.0008 times | Thu 28 July 2022 | 13.23 (5%) | 13.23 | 13.23 - 13.23 | 0.0024 times |
Indicator Analysis of SalasarInv
Please login to view indicator analysis. or View indicator analysis of SalasarInv 503635 on MunafaSutra.com for free
DMA SMA EMA moving averages of Salasar Inv 503635
DMA (daily moving average) of Salasar Inv 503635
| DMA period | DMA value |
| 5 day DMA | 683.69 |
| 12 day DMA | 583.25 |
| 20 day DMA | 492.13 |
| 35 day DMA | 369.62 |
| 50 day DMA | 288.54 |
| 100 day DMA | |
| 150 day DMA | |
| 200 day DMA |
EMA (exponential moving average) of Salasar Inv 503635
| EMA period | EMA current | EMA prev | EMA prev2 |
| 5 day EMA | 686.57 | 653.89 | 622.77 |
| 12 day EMA | 595.93 | 567.57 | 540.56 |
| 20 day EMA | 517.66 | 493.01 | 469.53 |
| 35 day EMA | 410.33 | 390.22 | 371.03 |
| 50 day EMA | 309.56 | 291.51 | 274.18 |
SMA (simple moving average) of Salasar Inv 503635
| SMA period | SMA current | SMA prev | SMA prev2 |
| 5 day SMA | 683.69 | 651.15 | 620.16 |
| 12 day SMA | 583.25 | 555.5 | 529.07 |
| 20 day SMA | 492.13 | 468.72 | 446.43 |
| 35 day SMA | 369.62 | 352.04 | 335.3 |
| 50 day SMA | 288.54 | 274.81 | 261.74 |
| 100 day SMA | |||
| 150 day SMA | |||
| 200 day SMA |
Terms of Use Stock Market News! © mail.munafa.pro2026 All Rights reserved.
